▲簡介/特性
【藥品查驗登記溶離檢測】
於2005年中心通過TAF認證,可受託執行符合TFDA法規之溶離比對試驗報告,分供BE試驗前評估用及取代BE試驗用兩種基本實驗設計,亦可提供客製化報告。
【藥品生物相關溶離方法開發】
作為BE試驗前評估用,以模擬禁食與飽食狀態之溶離媒液,開發並執行溶離試驗,用以預測藥物於體內之釋放狀況。
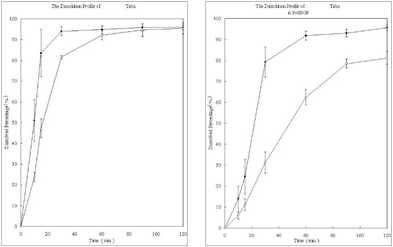
▲應用實例:累計300

▲簡介/特性
1.依分析標的物的物化性質,開發合適的定性或定量方法。
2.中心備有HPLC、UPLC、GC及LS-MS可供不同要求的分析選用。
3.從分析方法開發到確效,提供客製化的實驗設計及報告。

▲簡介/特性
以雷射光繞射及動態光散射技術,提供中西藥製劑之原料及成品,快速精準的粒徑分布測試,依設備可供0.0003~ 10 µm及0.01~3500 µm不同粒徑範圍之偵測。
奈米粒子會因表面性質、溶液 pH 值、電解質種類及溶液電解質濃度等,影響其表面電位,中心之設備應用Laser Doppler Micro-electrophoresis原理量測粒子表面 Zeta 電位,可作為膠體溶液系統穩定度判斷的指標。

《粒子性質檢測》
▲簡介/特性
半固態劑型的藥物,常透過黏度或黏彈性的控制,增加藥物的滯留性或是達到潤滑的作用。
1.黏度測定:是測定黏性的程度,不同物質的黏度不同。
2.黏彈性測定:黏彈性是黏性和彈性的結合,亦即黏性流體與彈性固體的流動特性組合。
Copyright © 2025 Medical and Pharmaceutical Industry Technology and Development Center All Rights Reserved.